电话:021-69515711
手机:13818065015
传真:021-69515712-
1049485
-
8459743
-
1993509414
:renrimarket
market@renri.com.cn
REN系列智能化辐射探头均可和REN300、REN300A、REN300B系列主机配套使用,也可以单独配套RenRiArea辐射区域监测软件使用。且具有RS485/RS232的通讯能力。所有探头均可单独外接报警灯,在超阈值的情
REN500型智能化χ、γ辐射仪采用高灵敏的闪烁晶体作为探测器,反应速度快, 和国内同类仪器相比,该仪器具有更宽的剂量率测量范围。 该仪器除能测高能、低能γ射线外,还能对低能X射线进行准确的测量,具有良好的能量响应特性。此外通过配套的Re
本报警仪由REN300A在线辐射安全报警仪和REN-3He-N中子探头和REN-GM-L X、伽玛探头组成。该辐射报警装置是采用特殊设计的前置放大电路,具有灵敏度高、操作方便、自动显示、数据存储和超阈值报警等特点,能实时给出x射线、γ射线、中子射线的辐射剂量率。考虑到现场操作、应急快速响应的需要,主
放射工作人员个人剂量委托监测服务
依据《GB18871-2002电离辐射防护与辐射源安全基本标准》和《GBZ128-2002职业性外照射个人监测规范》的要求,以热释光个人剂量计作为监测手段,为放射工作人员提供个人剂量委托监测服务,并为企业或卫生行政部
REN200型X、γ个人剂量报警仪(又叫X、γ辐射个人剂量当量HP(10)监测仪)内置高灵敏度盖格计数管为探测器,主要用来监测各种放射性工作场所中个人的X、γ以及硬β射线的辐射,具有响应快,测量范围宽的特点。能显示工作场所的剂量当量率和累积剂量,更换电池时,日期及累积数据能
REN400型多功能辐射检测仪是以内置高灵敏度盖格计数管为探测器,外接不同类型的探头来实现对低剂量χ、γ射线,高剂量χ、γ射线,α、β射线和中子射线的检测。作为多功能辐射巡测仪,能显示工作场所的辐射值,自动连续测量和记录280万条辐射剂量率数据,更换
REN系列智能化辐射探头均可和REN300、REN300A、REN300B系列主机配套使用,也可以单独配套RenRiArea辐射区域监测软件使用。且具有RS485/RS232的通讯能力。所有探头均可单独外接报警灯,在超阈值的情况下就地给出声光报警。
1、测量射线类型:α、β、γ、X射线2、探测器:
放射性
2007/7/24 18:29:00
原子核自发地放射出各种射线的现象,如 α、β、γ放射性等。1896年,法国科学家A.-H.贝可勒尔在研究铀盐的荧光现象时,发现含铀物质能发射出穿透力很强的不可见的射线,使照相底片感光。后来,经过人们的多年研究,终于证明它是三种成分组成的:一种是高速运动的氦原子核粒子束,称为α 射线。它的电离作用大,贯穿本领小,穿不透一张薄纸。另一种是高速运动的电子束,称为β射线。它的电离作用较小,贯穿本领较大,但仍穿不透一张薄金属片。第三种是波长很短的电磁波,称为γ射线。它的电离作用最小,贯穿本领最大,可以穿过例如1厘米厚的铅板。
放射性射线的性质、发射机制以及各种科技上的应用,一直是原子核物理学研究的一个重要的方面。
放射性的类型 放射性有天然放射性和人工放射性之分。天然放射性是指天然存在的放射性核素所具有的放射性。它们大多属于由重元素组成的三个放射系(即钍系、铀系和锕系)。人工放射性是指用核反应的办法所获得的放射性。人工放射性最早是在1934年由法国科学家约里奥-居里夫妇发现的(见人工放射性核素)。
现在知道,许多天然和人工生产的核素都能自发地放射出射线。放出的射线类型除 α、β、γ以外,还有正电子、质子、中子、中微子等其他粒子。能自发地放射出射线的核素,称为放射性核素(以前常称为放射性同位素),也叫不稳定核素。实验表明,温度、压力、磁场都不能显著地影响射线的发射。这是由于温度等只能引起核外电子状态的变化,而放射现象是由原子核内部变化引起的,同核外电子状态的改变关系很小。除自发裂变外,放射现象一般与衰变过程有关,主要同α衰变、β衰变过程有关。
α 放射性出现在α衰变过程中。此时,衰变后的剩余核(通常叫子核)与衰变前的原子核(通常叫母核)相比,原子序数减少2,质量数减少4。α衰变是母核通过强相互作用和隧道效应,发射α 粒子而发生的。
β放射性出现在β衰变过程中。β衰变有三种类型:① β+衰变,放出正电子和中微子的β衰变;② β-衰变,放出电子和反中微子的β衰变;③ 轨道电子俘获,俘获一个轨道电子并放出一个中微子的过程。β衰变是通过弱相互作用而发生的。
γ放射性通常和α衰变或β衰变有联系。α 和β衰变的子核往往处于激发态。处于激发态的原子核要放出γ射线而向较低激发态或基态跃迁,这叫γ跃迁。因此,γ射线的自发放射一般是伴随α 或β射线产生的。
β衰变所形成的子核,当其激发能足够高时,有可能放射中子、质子或α 粒子,甚至可以产生裂变。这些衰变类型分别叫做β缓发中子发射(β-n)、β缓发质子发射(β-p)、β缓发α 发射(β-α)和β缓发裂变(β-f)。
自发裂变是放射现象的另一种类型(见核裂变)。某些重核可以自发地分裂成两个质量相差不多的原子核,并放出几个中子。
质子放射性也是放射性的一种。例如处于激发态的
能自发地放射出质子,其衰变方式如下:

衰变规律 放射性原子核的衰变是一个统计过程,所以放射性原子的数目在衰变时是按指数规律随时间的增加而减少的,称为指数衰减规律
。
放射性活度 处于某一特定能态的放射性核在单位时间的衰变数-dN/dt,记作A。由指数衰减规律可以看到,A=-dN/dt=λN。
放射性活度的国际单位是贝可勒尔(Bq),它定义为每秒一次衰变,与以往放射性活度的常用单位居里(Ci)的关系是
1Ci=3.7×1010Bq。
放射性源的放射性活度同其质量之比,称为比活度。
测量放射性活度的方法取决于射线的类型、活度的等级等,通常分为绝对测量和相对测量两大类。绝对测量是用测量装置直接按照定义进行的测量。在实际应用中放射源大多是β或α 放射性,活度多数是微居里级的,这类放射性活度的绝对测量方法主要有小立体角法、4π计数法和符合法等三种。相对测量是用一个已知活度的标准源与待测样品在相同条件下进行测量,根据它们计数率的比值和标准源的活度即可算出待测源的活度。
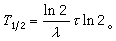
半衰期 处于某一特定能态的放射性原子核的数目或活度衰减到原来大小的一半所需的时间,通常用符号T┩表示。
平均寿命指处于某一特定能态的放射性原子核平均生存的时间。
利用指数衰减规律,容易得到半衰期T┩同衰变常数λ或平均寿命τ的关系如下

对半衰期在10-9秒到秒范围的核素,采用直接测量N(t)的方法,利用指数衰减规律求出T┩。对半衰期在数分钟到1~2年的核素,采用衰减跟踪法,测量探测器计数率随时间的变化,求出T┩。对半衰期在10年以上的核素,采用放射性比度法。此外还有测定子核法等,这些方法都基于放射性的指数衰减规律。对于极短的半衰期(小于10-9秒)的测量,需要采用一些特殊的技术(见核能级寿命测量)。
放射性的研究是十分重要的。基于放射性的研究所建立的衰变纲图是原子核结构理论研究的重要依据之一。通过各种核态的衰变特性的测量可研究各种核性质和核反应机制。大量远离β稳定线的核素就是根据它们的衰变特性进行鉴定和研究的。
放射性在许多学科的研究中,在工农医和军事等部门都有重要应用。例如,在工业中的β射线测厚度和γ射线探伤,农业中的辐照育种和射线刺激生物生长,以及医学中的射线诊断和放射治疗等方面都是富有成效的(见放射性同位素在农业上的应用、核医学)。放射性测量的同位素示踪方法和活化分析方法在核技术的应用中也占有重要位置。
参考书目
卢希庭主编:《原子核物理》,原子能出版社,北京,1981。
P.Marmier and E.Sheldon,Physics of Nuclei and particles, Academic Press, New York and London, 1969.
E. Segrè, Nuclei and particles,2nd ed., W. A.Benjamin,Reading, Mass., 1977.
Yuan,Luke Chai-Liu and Wu Chien-Shiung,Nuclear Physics,Part A. Academic Press, New York, 1961.
产品描述: REN系列智能化辐射探头均可和REN300、REN300A、REN300B系列主机配套使用,也可以单独配套RenRiArea辐射区域监测软件使用。且具有RS485/RS232的通讯能力。所有探头均可单独外接报警灯,在超阈值的情况下就地给出
产品描述:REN系列智能化辐射探头均可和REN300、REN300A、REN300B系列主机配套使用,也可以单独配套RenRiArea辐射区域监测软件使用。且具有RS485/RS232的通讯能力。所有探头均可单独外接报警灯,在超阈值的情况下就地给出声光报警。 1、测量射线类型:X、γ射线2、探测器:3个GM
产品描述:REN系列智能化辐射探头均可和REN300、REN300A、REN300B系列主机配套使用,也可以单独配套RenRiArea辐射区域监测软件使用。且具有RS485/RS232的通讯能力。所有探头均可单独外接报警灯,在超阈值的情况下就地给出声光报警。 1、测量射线类型:X、γ射线2、探测器:2个GM
产品名称:REN500H辐射防护用X、γ辐射剂量当量(率)仪
产品描述:REN500H辐射防护用X、γ辐射剂量当量(率)仪是监测各种高剂量放射性工作场所的辐射剂量率专用仪器。仪器满足《环境地表γ辐射剂量率测定规范》中高剂量部分的要求。该仪器除能测高能γ射线外,还能对低能X射线进行准确的测量,具有良好的能量响应特性。此外通过配套的RenRiRate辐射剂量管理软件可将存储
产品描述:REN系列智能化辐射探头均可和REN300、REN300A、REN300B系列主机配套使用,也可以单独配套RenRiArea辐射区域监测软件使用。且具有RS485/RS232的通讯能力。所有探头均可单独外接报警灯,在超阈值的情况下就地给出声光报警。 1、测量射线类型:X、γ射线2、探测器:Φ30×
产品名称:REN600A型α、β、γ射线表面污染仪
产品描述:REN600A型α、β、γ射线表面污染仪即可检测α、β、γ射线,也能检测到X射线,它采用高速嵌入式微处器作为数据处理单元,点阵式大屏幕LCD液晶显示,读数清晰、操作方便,具有800条超大容量数据存储。仪器采用进口的大面积MICA盖革探测器,具有较高探测效率,可进行α、β辐射表面污染检测和X、γ辐射剂
产品名称:REN500B型智能化X、γ辐射仪
产品描述: REN500B型智能化х-γ辐射仪是监测各种放射性工作场所х、γ射线辐射剂量率的专用仪器。该仪器具有较大的剂量率测量范围和能量响应特性。此外通过配套的RenRiRate剂量率管理软件可将存储的数据读出后分析。该仪器广泛用于卫生、环保、冶金、石油、化工、医院、加速器、工业探伤









沪ICP备09065761号-4